The interconnection of various electric elements in a particular manner comprises as an electric circuit in order to perform a desired function. A circuit may be called as direct current (dc) circuit or alternating current (ac) circuit based on the type of components and sources used.
UNIT
I
ELECTRICAL
CIRCUITS
DC
CIRCUITS
The
interconnection of various electric elements in a particular manner comprises
as an electric circuit in order to perform a desired function. A circuit may be
called as direct current (dc) circuit or alternating current (ac) circuit based
on the type of components and sources used. If the circuit consists of only
elements such as resistor, desired voltage and current sources, then the
circuit is called a DC circuit. If the circuit is made up of AC elements like inductor,
capacitor and alternating voltage and current sources then the circuit is
called as AC circuit.
Circuit
laws provide a basis for analyzing the circuits. Ohms law gives the basic
relationship between the voltage and current. Kirchoff's laws (KVL and KCL) are
useful in deriving the voltage and current equations of a circuit. Mesh and
Nodal methods are the systematic approaches of applying Kirchoff's laws to
simplify the process of both DC and AC circuit analysis. Further power, power
factor and energy are the other complex quantities often used in AC circuit
analysis.
Basic Concepts
Charge:
The electric charge is the most basic quantity in electrical engineering and
arises from the atomic particles of which matter is made. The unit is coulomb.
yd novig ei nolaista ni bosqizeib
Potential Difference:
The potential difference also known as voltage is the work done to move a unit
positive charge from one point to another. The unit is volt.
Current:
The electric current is the rate of charge flow in a circuit. The unit is ampere.
Energy:
The energy is the capacity to do work. Thus in electrical quantities this may
be expressed as:

Power:
The electric power is the rate of change of energy The unit is watt.
Electric Circuit:
The closed path in which the electrons flow from a voltage or current sources
is called an electric circuit.
Circuit Elements:
An electrical circuit is an interconnection of electrical circuit elements.
These circuit elements can be categorized into two types, namely active
elements and passive elements.
*
A voltage or current sources of energy (active elements).
*
Resistors inductors and capacitors (passive elements).
Passive Elements:
The passive elements does not produce any electricity. They may either consume
energy or store energy.
Resistors:
Resistors are circuit elements that opposes the flow of current.
A
pure resistor turns electrical energy into heat.

Current
in the Figure 1.1 is entering the + side of the resistor. Resistor doesn't care
bas which leg is connected to positive or negative. The + means where the
positive or red probe of the voltmeter is to be placed in order to get a
positive reading. This is called 'positive' sign convention.
If
the current entering the + side of the resistor means that the resistor is removing
energy from the circuit.

Relation between resistivity and
conductivity:
Resistivity
and conductivity are reciprocals.
Energy Stored Elements
Capacitors
and Inductors, can store energy to be released back into the circuit under
certain conditions.
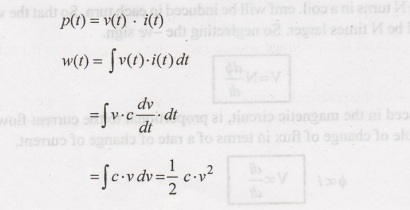
Inductors:
An
inductor is a coil of wire that stores energy in the form form of a magnetic
field.

The
basic equation governing the behaviour of an inductor is Faraday's law of
electromagnetism.

When
there are N turns in a coil. emf will be induced in each turn. So that the
voltage across the coil would be N times larger. So neglecting the -ve sign.

The
flux produced in the magnetic circuit, is proportional to the current flowing
in the coil, so that the role of change of flux in terms of a rate of change of
current,

The
basic electrical circuit equation as:

The
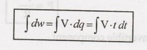
stored energy of the inductor w(t)==L.i2.
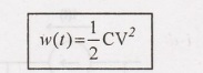
Capacitor:
Capacitors
are passive circuit elements that can be used to store energy in the form of an
electric field.

The
charge stored is directly proportional to the applied voltage,
q=C.V
Since
q = Sidt the basic equation for the capacitor may be re-written in the circuit terms
as:

Since
the current through a capacitor is proportional to the rate of change of
voltage, a step voltage change is not possible through a capacitor as this
would corresponds to an infinite current.

The
energy stored in the capacitor is given by:

Active Circuit Elements
An
active circuit element is a component in a circuit which is capable of
producing or generating energy. They are divided into two types:
1)
Voltage Source
2)
Current Source.
Sources
can be divided into two types:
1)
Independent Source
2)
Dependent Source.
Independent Source
For
an independent voltage or current source the terminal voltage or current would
depend only on the loading and the internal source quantity but not an any
other circuit variable.
(i) Independent Voltage Source:

From
Figure 1.4(a) an ideal voltage source keeps the voltage across it unchanged
independent of load.
From Figure 1.4(b) the practical voltage source have a drop in voltage across their internal impedances. The voltage drop is generally small compared to the internal emf.
Independent Current Source:

From
Fig.1.5(a) and ideal current source keeps the circuit produced unchanged
independent of load.
From
Fig.1.5(b) practical current source have a drop in current across their
internal admittances.
The
current drop is generally small compared to the internal source current.
Dependent Source
A
dependent voltage or current source would have its terminal voltage or current
depend on another circuit quantity such as voltage or current. There are four
possibilities of dependent source.
(1)
Voltage Dependent (controlled) Voltage Source (VDVS).
(2)
Current Dependent (controlled) Voltage Source (CDVS)
(3)
Voltage Dependent (controlled) Current Source (VDCS).
(4)
Current Dependent (controlled) Current Source (CDCS).

Linear and
Non-Linear Circuits
(i) Linear Circuit:
An
element is said to be linear if its voltage-current characteristics is at all
times straight line through the origin.
A
linear element or network is one which satisfies the principle of superposition
is the principle of homogeneity and additivity.
(ii) Non-Linear Circuit:
A
non-linear system is that whose parameters change with voltage or current. It
does not obey the law of homogeneity and additive properties.

Basic Electrical, Electronics And Instrumentation Engineering: UNIT I: Electrical Circuits : Tag: : Basic Concepts - Dc Circuits
Basic Electrical, Electronics and Instrumentation Engineering
BE3252 2021 Regulation | 2nd Semester Civil Dept 2021 Regulation