The bed of pressure conduits should be as far as possible near HGL (Hydraulic M (ii) atibo gradient line).
HYDRAULICS
OF PIPE LINES
(i)
The bed of pressure conduits should be as far as possible near HGL (Hydraulic M
(ii) atibo gradient line).
Otherwise
the increased pressure in pipes necessitates thicker and stronger pipes which
will increase the cost.
(ii)
Hydraulic Gradient Line should generate sufficient velocities. The velocity
should be non silting / non-scouring. (0.9 m/s to 1.5 m/s)
(iii)
Structural stability
(iv)
Economical construction
(v)
Head loss due to pipe friction.
(vi)
Loss due to changes in flow geometry i.e., change in pipe size, bends, valves etc.
Head Loss formulae:
(i)
Darcy-Weisbach formula (friction flow)

HL
=hf = Head Loss due to pipe-friction in metres (m)
L
= Length of pipe in m.
D
= Diameter of pipe in m
V
= Velocity of flow in m/s
f'
= dimensionless friction factor
o =
Acceleration due to gravity (9.81 m2/s)

k
= roughness projection (mm)
Re
= Reynolds number

(ii) Manning's formula -
For gravity conduits and turbulent flow in pressure conduit

For
circular pipe with full flow

n
= Manning's rugosity Coefficient.
L
= Length of pipe in (m)
V
= Flow velocity (m/s)
R
= Hydraulic mean depth of pipe
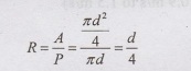
(iii) Hazen-William's formula
V
= 0.85 CH R0.63 $0.54
CH
= Coefficient of hydraulic capacity (refer Table 2.3)
For
Smoother pipe CH is greater
R
= Hydraulic mean depth of pipe in m.
For
Circular pipe, R=d/4
S
= Slope of energy line

Limitations of Hazen-william's
formula
(i)
The co-efficient CH is not dimensionless. Its value varies.
(ii)
CH is independent of friction conditions (pipe diameter, viscosity,
velocity, roughness and Reynold's number etc.)
Hence,
Hazen William's gave a modified formula
Problem 3.1:
Determine
the size of a supply conduit for serving a small town of population 25,000.
Also find the hydraulic gradient at which the pipeline is proposed to be laid.
Assume datas wherever required.
Solution:
Population
= 25,000
Assume
the average daily consumption of water (per capita demand) as = 120 /ped.
=
Population × per capita demand
=
25,000 × 120 /ped
=
3 x 106 l/d = 3 MLD
Maximum
daily demand
=
1.8 x Average daily demand
=
1.8 x 3 MLD
=
5.4 MLD

(a) To find the diameter of pipe.
Water
Supply and Waste Water Engineering
Assume
flow velocity in pipes as 1.2 m/s. Consider the conduit as circular.
Q
= AV
Where,
Q
= Discharge (m3/s)
A
= Area of cross-section (m2)
V
= flow velocity (m/s)
0.063
m3/s = A x 1.2 m/s
A
= 0.063 / 1.2
A
= 0.0525 m2
For
circular conduit

Provide
25 cm diameter pipe
(b) To find Hydraulic gradient?
Use
Hazen-William's formula
Assume
CH = 110

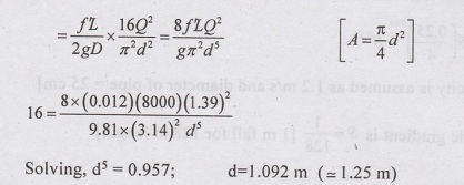
Problem 3.2:
In
a water supply system to be designed for serving a population of 4 lakhs, the
storage reservoir is situated at 8 km away from city and the loss of head from
source to city is 16 meters. Calculate the size of supply main by using
Weisbach formula as well as by using Hazen's formula assuming a maximum daily
demand of 200 litres per day per person and half of the daily supply to be
pumped in 8 hours. Assume coefficient of friction for the pipe material as
0.012 in Weisbach formula and CH = 130 in Hazen's formula
Solution:
Maximum
daily per capita demand = 200 lpcd
Population
= 4,00,000
Maximum
daily water demand = Population x per capita demand
=
4,00,000 × 200 lpcd
=
80 × 106 1/d
=
80 MLD
Maximum
water demand for which supply main is to be designed
80×24/2
× 1/8 = 80×12/8 MLD=120 MLD
(Since
half the daily supply is pumped in 8 hrs)
Q=120
MLD: = 120×106 /103 × 24 × 60 × 60 m3/s=1.39m3/s
Now,
Q = 1.39 m3/s, L = 8 km = 8000 m, HL = 16m
(a) Using Darcy-Weisbach formula

Use
the nearest standard available pipe diameter (i.e. 1.25 metre diameter)
(b) Using Hazen-William's formula

Water Supply And Wastewater Engineering: Unit III: Water Storage And Distribution : Tag: : Formula, Calculation, Solved Example Problems - Hydraulics of Pipe Lines
Water Supply and Wastewater Engineering
CE3303 3rd Semester Civil Dept 2021 Regulation | Tag: 3rd Semester Civil Dept 2021 Regulation