A difference equation is a relation between the differences of an unknown function at one or more general values of the argument.
Formation of difference
equations:
Def.
Difference equations: A difference equation is a relation
between the differences of an unknown function at one or more general values of
the argument.
Thus ∆y(n+
+ 1) + Y(n) = 2……………..(1)
and ∆y(n +
1) + ∆2 y(n − 1) = 1……………(2)
are difference
equations.
Def:
Order of a difference equation:
The order of a
difference equation is the difference between the largest and the smallest
arguments occurring in the difference equation divided by the unit of
increment.
Def:
Solution of a difference equation:
The solution of
a difference equation is an expression for y(n) which satisfies the given
difference equation.
Def:
The general solution of a difference equation: The general solution of a
difference equation is that in which the number of arbitrary constants is equal
to the order of the difference equation.
Def:
The particular solution of a difference equation:
A particular
solution is that the solution which is obtained from the general solution by
giving particular values to the constants.
XII. Formation of difference
equations :
1. Form the
difference equation corresponding to the family of curves y = ax + bx2

2.
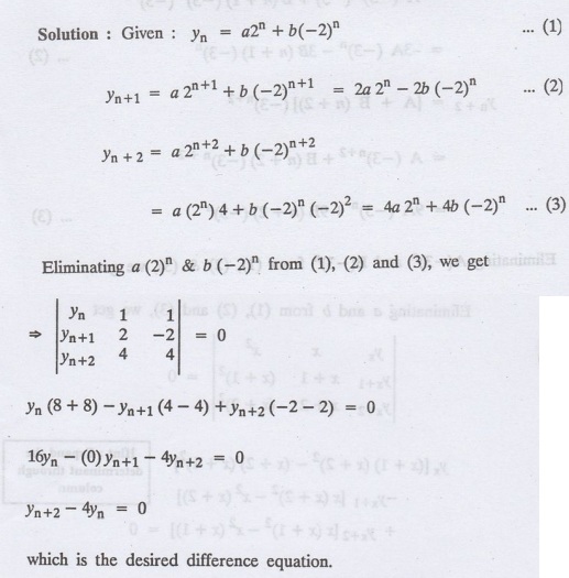
From yn = a2n + b(-2)n, derive a difference
equation by eliminating the arbitrary constants.

3.
Derive the difference equation from Yn = (A + Bn) (-3)n.

4.
Derive the difference equation from un = A2n + Bn

5.
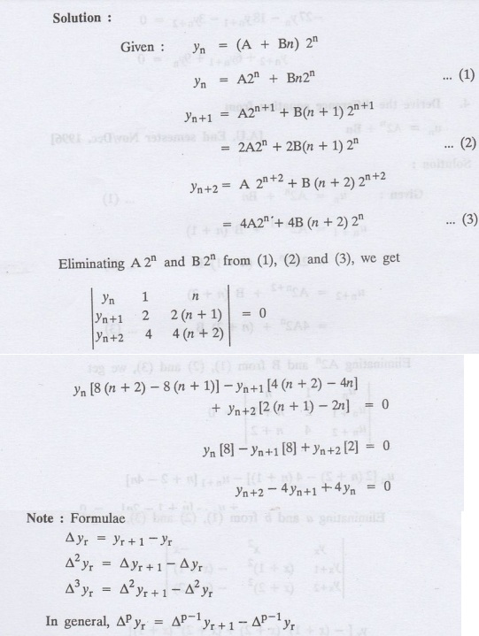
Derive the difference equation from
Yn
= (A + Bn) 2n

6.
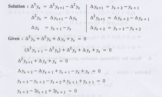
Write the difference equation ∆3y + ∆2yx + ∆yx
+ y = 0 in the subscript notation :

7.
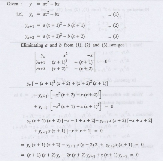
Find the difference equation satisfied by y = ax2 - bx.
Solution
:

8.
Form the difference equation generated by yx = ax + b 2x
Solution:
G

9.
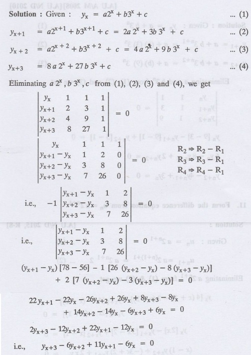
Form the difference equation generated by y=a2x+b3x+ c.

10.
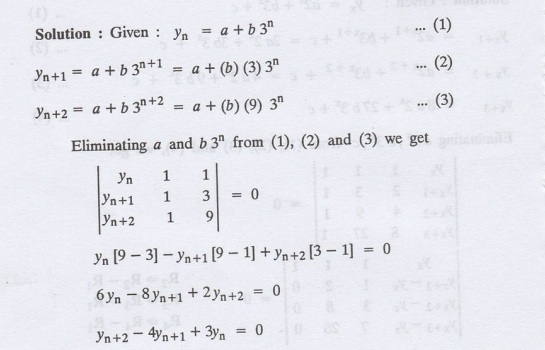
Form the difference equation from yn = a + b3n.

11.
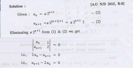
Form the difference equation from u̟n = a 2n+1

Transforms And Partial Differential Equations: UNIT V: Z - Transforms And Difference Equations : Tag: : - Formation Of Difference Equations
Transforms and Partial Differential Equations
MA3351 3rd semester civil, Mechanical Dept | 2021 Regulation | 3rd Semester Mechanical Dept 2021 Regulation