Transforms And Partial Differential Equations: UNIT V: Z - Transforms And Difference Equations: Exercise
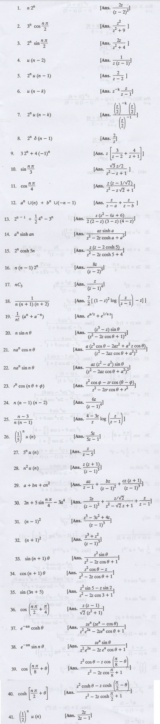
EXERCISE - 5.1
1.
Find the Z-transform of the following sequences.

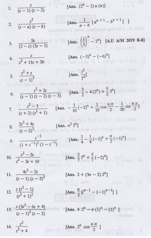
EXERCISE 5.2
1.
Find the inverse Z-transform of the following sequence by any method.

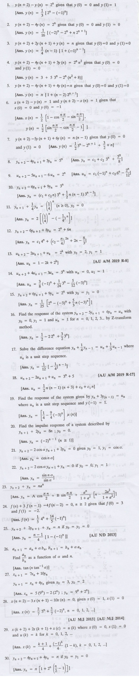
EXERCISE - 5.3
Solve
the following equations, using Z-transform.

Transforms And Partial Differential Equations: UNIT V: Z - Transforms And Difference Equations : Tag: : Solution of difference equations using Z-transform. - Exercise
Transforms and Partial Differential Equations
MA3351 3rd semester civil, Mechanical Dept | 2021 Regulation | 3rd Semester Mechanical Dept 2021 Regulation