Transforms And Partial Differential Equations: UNIT I: Partial Differential Equations: Examples
Problems based on Type 2.
TYPE
2. Clairaut's form z = = px + qy + f (p, q)
Example
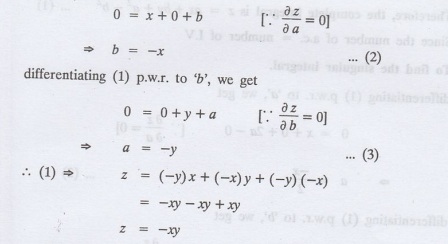
1.3b(6): Solve z = px + qy + pq and classify the following integrals (i) z = ax
+ by + ab; (ii) z = 2x + 3y+6 (iii) z + xy = 0
Solution:
Given: z = px + qy + pq
This equation is of the form z = px
+ qy + f (p,q)
Therefore,
the complete integral is z = ax + by + f (a, b)
i.e., z= ax + by + ab
To
find the singular integral

i.e., z + xy = 0 ... (4) which is
the singular integral.
To
get the general integral,

Eliminating 'a' between (5) &
(6), we get the general solution.
Classification
of integrals
(i) z = ax + by + ab + ab is a
complete 1
(ii) z = 2x + 3y+6 is a particular
integral. Since, Here a = 2, b = 3
(iii) z + xy = 0 is a singular
integral.
Example
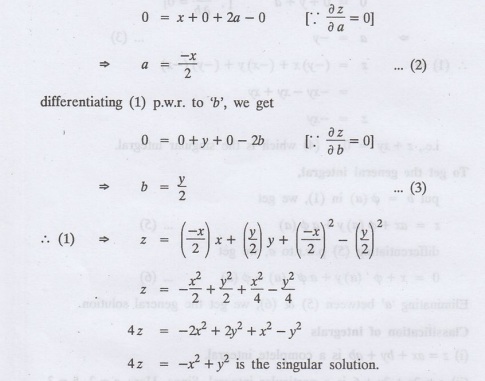
1.3b(7) : Solve z = px + qy + p2 − q2.
[AU,
April 2001] [A.U. N/D 2003, A/M 2008, M/J 2006] [A.U Tvli N/D 2010, Trichy N/D
2010] [A.U N/D 2014, R-13]
Solution:
Given: z = px + qy + p2 - q2
This equation is of the form z = px
+ qy + f (p,q)
[Clairaut's type]
Therefore, the complete integral is
z = ax + by + a2 - b2
Since the number of a.c. = number
of I.V
To
find the singular integral.
differentiating (1) p.w.r. to 'a',
we get

To
get the general integral.

Example
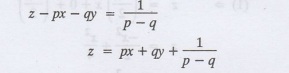
1.3b(8) Find the complete integral of (pq) (z-px- qy) = 1.
Solution:
Given: (p − q) (z - px - qy) = 1

This equation is of the form z = px
+ qy + f (p,q) [Clairaut's equation]
Therefore,
the complete integral is

Since, the number of a.c. = number
of I.V
Example
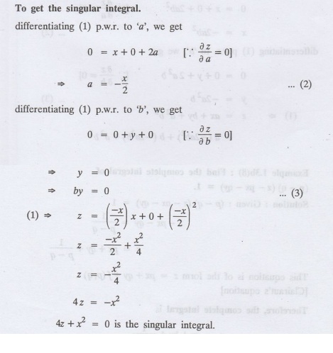
1.3b(9) Find the singular integral of z = px + qy + p2
Solution:
Given: z = px + qy + p2
This equation is of the form z = px + qy +f(p,q)
[Clairaut’s type]
Therefore, the complete integral is
z = ax + by + a2
Since the number of a.c = number of
I.V

Example 1.3b(10): Solve z = px + qy + p2 q2
Solution: Given: z = px + qy + p2 q2
eliminate 'a' between (6) &
(7), we get the general solution.
Example 1.3b(11): Solve z = px + qy
+ √1+q2 + p2.
Solution: Given: z = px + qy + √1+q2+p2
This is of the form z = px + qy + f
(p,q)
[Clairaut's form]
Hence,
the complete integral is z = ax + by + √1+ a2 + b2
... (1) ́ where a and b are arbitrary constants.
Since the number of a.c. = number of I.V

Example 1.3.b(12) : Solve z = px + qy + √1 - p2 - q2
Solution:
Given:
z = px + qy + √ 1 − p2 − q2
This is of the form z = px + qy + f
(p,q) [Clairaut's form]
Hence, the complete integral is z =
ax + by +√1-a2-b2
where a and b are arbitrary
constants.
To
get the singular integral :

Example
1.3b(13) : Obtain the complete solution of the equation
Solution:
Given: z = px + qy - 2√pq
This is of the form z = px + qy + f
(p,q) [Clairaut's form]
Hence, the complete solution is
z = ax + by - 2 √ab where a and b
are arbitrary constants.
Since, the number of a.c. = number
of I.V
Example 1.3b(14): Solve z = px + qy
+ (pq)3/2.

Example 1.3b(15) Find the singular integral of z= Px + qy +p2 + q2
Solution:
z= Px + qy +p2 + q2
This equation is of the form z = px
+ qy + f (p,q) [Clairaut's type]
Therefore, the complete integral is
z = ax + by + a2 + b2
Since, the number of a.c. = number
of I.V
To get the singular integral
differentiating (1) p.w.r.to 'a' & 'b' we get

Example 1.3b(16) : : Find the complete integral of the partial differential equation (1-x) p + (2-y)q = 3-z

Example 1.3b(17): Find the singular
integral of z = px + qy + p2 + pq + q2
Solution : Given: z = px + qy + p2
+ pq + q2
This equation is of the Clairaut's
form.
Hence, the complete solution is
z = ax + by + a2 + ab +
b2
Since, the number of a.c. = number
of I.V
To find the singular integral.

Example
1.3b(18): Solve the equation
(pq-p-q)
(z - px - qy) = pq
Solution:
Rewriting the given equation as

This is of the form z = px + qy + f
(p, q) [Clairaut's form]
Hence, the complete solution is

Since, the number of a.c. = number
of I.V
To
find the singular solution of (1).

Transforms And Partial Differential Equations: UNIT I: Partial Differential Equations : Tag: : Partial Differential Equations - Solved Example Problems based on Type 2 Clairaut's form z = = px + qy + f (p, q)
Transforms and Partial Differential Equations
MA3351 3rd semester civil, Mechanical Dept | 2021 Regulation | 3rd Semester Mechanical Dept 2021 Regulation