Transforms And Partial Differential Equations: UNIT I: Partial Differential Equations: Examples
II. Problems based on Formation of p.d.e.
by elimination of arbitrary functions.
(a) Case (i) a.f. = 1, p.d.e
order = 1
Example
1.2(a)(1): Eliminate f from z=f(x2 + y2).
Solution:
Given: z = f(x2 + y2) ……………………….(1)
Differentiating (1) p.w.r. to x and
y, we get

Example 1.2(a) (2): Eliminate f from z = x + y + f (xy).

Example
1.2(a) (3): Eliminate the arbitrary function f from z = f(y/x) and form a
partial differential equation.

Example
1.2(a) (4) : Form the p.d.e. by eliminating ƒ from z = f (x + y).

Solution
:
z = f (x + y)................(1)
Differentiating (1) p.w.r. to x, we
get

Example
1.2(a) (5): Eliminate f from z = f (x2 + y2+z2).

Solution:
Given: z = f (x2 + y2+z2).

Example
1.2(a) (6): Eliminate f from z = f(xy/z)
Solution:
Given:

Example
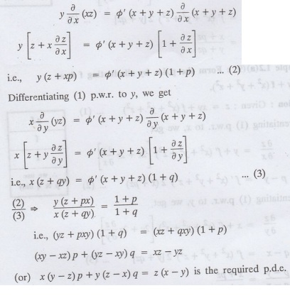
1.2(a) (7) : Eliminate ϕ from xyz= ϕ (x + y + z).

Solution:
Given: xyz ϕ (x + y + z)…………….(1)
Differentiating (1) p.w.r. to x, we
get

Example
1.2 (a) (8): Find the p.d.e. by eliminating the arbitrary function ϕ from ϕ (x2+ y2) = y2+z2.

Solution:
Given y2+z2

Example
1.2 (a) (9): Form the p.d.e. by eliminating f from z = xy + (x2 + y2+z2).

Example
1.2 (a) (10): Form the p.d.e. by eliminating ϕ
from ϕ (x2 + y2+z2, x + y + z)
=
0.
Solution:
Rewriting
the given equation as

Example
1.2(a) (11) Form the p.d.e. by eliminating f from 
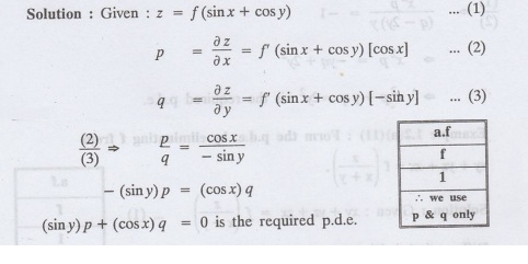
Example 1.2(a) (12): Obtain p.d.e. from z = f (sin x + cos y).

Example 1.2(a) (13): Form the p.d.e. by eliminating f form

Example
1.2(a) (14): Form the p.d.e by eliminating the arbitrary function from 
Solution:

Transforms And Partial Differential Equations: UNIT I: Partial Differential Equations : Tag: : Partial Differential Equations - Solved Example Problems based on formation of p.d.e by elimination of arbitrary functions
Transforms and Partial Differential Equations
MA3351 3rd semester civil, Mechanical Dept | 2021 Regulation | 3rd Semester Mechanical Dept 2021 Regulation