Transforms And Partial Differential Equations: UNIT I: Partial Differential Equations: Examples
III (b) Problems based on First order
p.d.e
Problems
based on Type 1 f (p, q) = 0
Example
1.3(b)(1): [Type 1]
Solve:
Vp + √q = 1
Solution:
Given: √p + √q……………………….(1)
This
equation is of the form f (p, q) = 0………….(2)
Hence, the trial solution is z = ax
+ by + c………….(3)
To
get the complete integral (solution)

Since, number of a.c. = number of
I.V.
To
find the singular integral :
Differentiating (4) p.w.r.to c we
get,
0 = 1 [absurd]
Hence, there is no singular
integral.
To
get the general integral (solution)

Eliminating 'a' between (5) and
(6), we get the general solution of the given p.d.e.
Example
1.3b(2) : [Type 1]
Solve
p+q=pq
Solution:
Given: p + q = pq ………..(1)
This equation is of the form f
(p,q) = 0………..(2)
Hence, the trial solution is z = ax
+ by + c ………..(3)
To
get the complete integral (solution)

Since, number of a.c. = number of
I.V
To
find the singular integral :
Differentiating (4) p.w.r.to c we
get,
(0=1 [absurd]
Hence, there is no singular
integral.
To
get the general integral (solution)

Eliminating 'a' between (5) &
(6), we get the general solution of the given p.d.e.
Example
1.3b(3) : [Type 1] Solve: pq = k
Solution:
Given: pq = k …..(1)
This equation is of the form f (p,
q) = 0…..(2)
Hence, the trial solution is z = ax
+ by + c…..(3)
To
get the complete integral :

To
find the singular integral
Differentiating (4) p.w.r.to c we
get,
0 = 1 [absurd]
There is no singular integral.
To
get the general integral (solution)
Put c = f (a) in (4), we get

Eliminating 'a' between (5) &
(6), we get the general solution of the given p.d.e.
Example
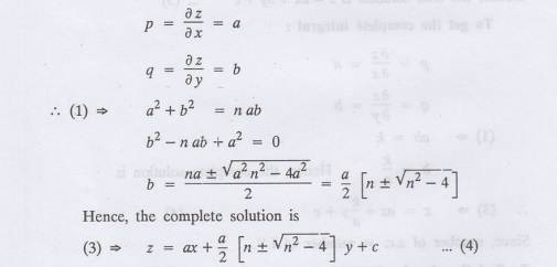
1.3b(4): [Type 1] Solve: p2 + q2 = npq
Solution:
Given: p2 + q2 =
npq ... (1)
This equation is of the form f (p,
q) = 0 ... (2)
Hence, the trial solution is z = ax
+ by + c... (3)
To get the complete integral
(solution) :

Since, number of a.c. = number of
I.V
To
find the singular integral :
Differentiating (4) p.w.r.to c we
get,
0 = 1 [absurd]
There is no singular integral.
To
get the general integral (solution)
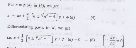
Put c = (a) in (4), we get

Eliminating ‘a' between (5) &
(6), we get the general solution of the given p.d.e.
Note: Solve p2 + q2 − 4pq = 0
In the above problem put n = 4 we get the solution.
Example
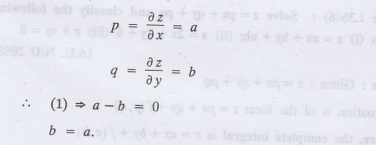
1.3b(5): [Type 1] Find the complete integral of p-q=0
Solution:
Given P-q = 0….(1)
This equation is of the form f(p, q) = 0…..(2)
Hence, the trial solution is z = ax + by + c…..(3)
To
get the complete integral (solution)

Hence, the complete integral is z =
ax + ay + c.
Hence, number of a.c.= number of
I.V.
[We can get general solution easily by using
Lagrange's idea]
Transforms And Partial Differential Equations: UNIT I: Partial Differential Equations : Tag: : - Solved Example Problems based on First order Partial Differential Equations (p.d.e)
Transforms and Partial Differential Equations
MA3351 3rd semester civil, Mechanical Dept | 2021 Regulation | 3rd Semester Mechanical Dept 2021 Regulation