Transforms And Partial Differential Equations: UNIT I: Partial Differential Equations: Examples
1.4a. Problems based on Lagrange's linear
equation method of Grouping :
Example
1.4a(1): Solve px + qy = z.
Solution:
Given: px+qy=z (i.e.,) xp +yq=z
This equation is of the form P p +
Qq = R

Example
1.4a (2): Write the solution of px2+qy2 = 2.
Solution:
Given: px2 + qy2 = z2
i.e., x2p + y2
q = z2
This equation is of the form
where P = x2, Q = y2,
R = z2

Example
1.4a(3) Find the solution of p√x + q√y = √z.
Solution
:
Given: p √x + q √y = √z
ie., √xp + √y q = √z
This equation is of the form P p +
Qq = R
where P = √x, Q = √y, R = √z
The Lagrange's subsidiary equations
are

Hence, the general solution is ƒ
(u, v) = 0
i.e., ƒ (√x − √y, √y - √z) = 0,
where ƒ is arbitrary.
Example
1.4a (4) Find the general solution of

Example
1.4a (5): Write the general integral of pyz + qzx = xy.

Example
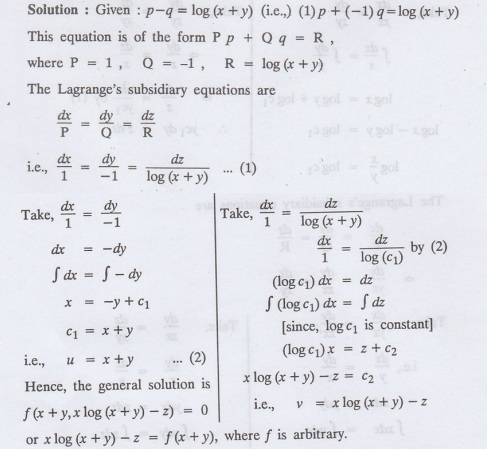
1.4a (6) Find the general integral of p-q=log (x + y).

Example
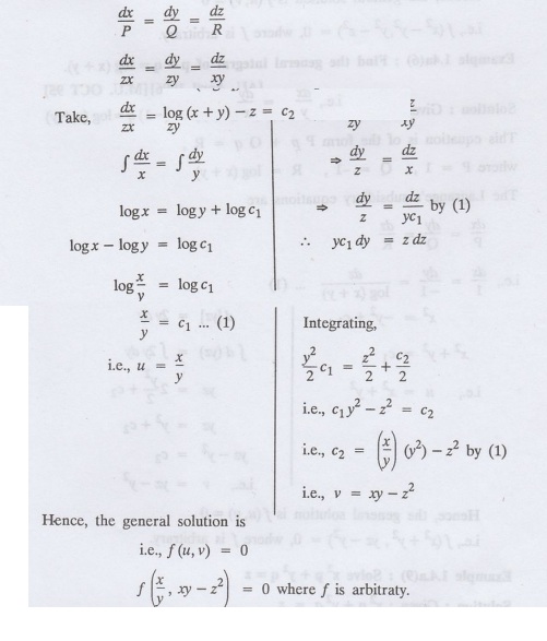
1.4a (7): Obtain the general solution of pzx+qzy = xy.
Solution:
Given: pzx + qzy = xy (i.e.,) zxp+zyq = xy
This equation is of the form
Pp+Qq=R
Here, P = zx, Q = zy, R = xy
The Lagrange's subsidiary equations
are

Example
1.4a(8): Solve : y2-xyq = x (z - 2y)
Solution:
Given: y2p-xyq = x (z - 2y)
i.e., y2p + (-xy) q = x
(z - 2y)
This equation of the form Pp + Qq =
R

Example
1.4.a(9): Solve x2p+y2q= z
Solution:
Given: x2p+ y2q
This equation is of the form P p +Q
q=R,
where P = x2, Q=y2,
The Lagrange's subsidiary equations
are.

Transforms And Partial Differential Equations: UNIT I: Partial Differential Equations : Tag: : Examples - Problems based on Lagrange's linear equation method of Grouping
Transforms and Partial Differential Equations
MA3351 3rd semester civil, Mechanical Dept | 2021 Regulation | 3rd Semester Mechanical Dept 2021 Regulation