Transforms And Partial Differential Equations: UNIT I: Partial Differential Equations: Example
I. Problems based on formation of p.d.e by
elimination of leno arbitrary constants (a.c.)

Example
1.1a(1): Form the p.d.e. by eliminating the arbitrary constants a & b from
z = ax + by.

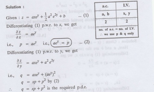
Solution: Given: z = ax + by…………….(1)
differentiating (1) partially w.r. to 'x', we

Substituting (2) & (3) in (1),
we get the required p.d.e z = px + qy.
Example 1.1a(2) : Eliminate the arbitrary constants a & b from z = ax + by + a2 + b2
.
Solution: Given: z = ax + by + a2
+ b2
differentiating (1) partially w.r.
to 'x', we get

.. Substituting (2) & (3) in
(1), we get the required p.d.e
z = px + qy + p2 + q2
Example
1.1a(3): Form the p.d.e by eliminating the arbitrary constants from z = ax + by
+ ab

Solution:
Given: z = ax + by + ab......(1)

Substituting (2) & (3) in (1),
we get the required p.d.e.
i.e., z = px + qy + pq
Example
1.1a(4) : Form a p.d.e by eliminating the arbitrary constants a and b from z =
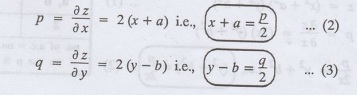
(x + a)2 + (y - b)2
Solution:
Given:
z = (x + a)2 + (v - b)2.............(1)


Example 1.1a(5): Eliminate the
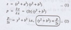
arbitrary constants a &b from z=(x2+a) (y2+b)
Solution:
Given: z = (x2 + a) (v2 + b) ……………....(1)
differentiating (1) partially w.r.
to 'x', we get

differentiating (1) partially w.r.
to 'y', we get

Example
1.1a(6): Form the partial differential equation by eliminating a and b from z =
(x2 + a2) (y2+ b2)

Solution:
Given :


Example
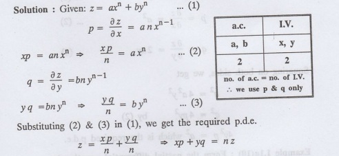
1.1a(7): Form the p.d.e. by eliminating the constants a and b from z=axn
+byn
Solution:

Example
1.1a(8): Form a partial differential equation by eliminating the arbitrary
constants a and b from the relation



Example
1.1a(9) Form a partial differential equation by eliminating the arbitrary
constants from z = a2x + ay2 + b

Example
1.1a(10) : Form partial differential equation by eliminating a and b from
z = a (x + y) + b
Solution:

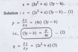
Example 1.1(a) (11) : Form the p.d.e. by eliminating the arbitrary constants a & b from z = axey + 1/2 a2 e2y + b.

xample
1.1(a) (12) : Form the partial differential equation by eliminating a and b
from (x − a)2 + (y − b)2 = z2 cot2
a
Solution:
The given equation is

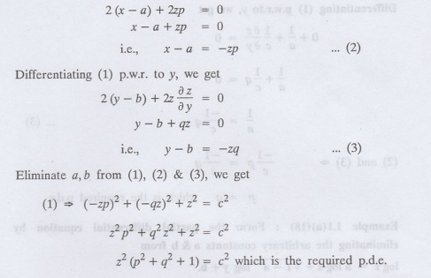
Example 1.1(a) (13): Obtain partial differential equation by eliminating arbitrary constants a and b from (x − a)2 + (y - b)2 + z2 = 1.

Example
1.1(a) (14) Find the p.d.e. of all planes through the origin.
Solution:
The general equation to a plane is = ax+by+cz+d =0 ... (1)

Example
1.1(a)(15) : Find the p.d.e of all sphere whose
centres lie on the z axis.
Solution:
Let the centre of the sphere be (0, 0, c) a point on the z axis and k its
radius (arbitrary)

Example
1.1(a)(16): Find the p.d.e. of all spheres of radius 'c' having their centres
in the XOY plane.
Solution:
Let the centre of the sphere be (a, b, 0) a point in the XOY plane, 'c' is the
given radius.
The equation to the sphere is


Example
1.1(a) (17) Find the PDE of all planes having equal intercepts on the x and y
axis.

Example
1.1(a) (18) : Form the partial differential equation by eliminating the
arbitrary constants a & b from
log z = a log x + √1 – a2
log y + b.
Solution:

Example
1.1(a)(19): Form the partial differential equation by 
Example
1.1(a) (20) Form the p.d.e. by eliminating the arbitrary constants a & b
from

Example
1.1(a)(21): Find the partial differential equation of the family of spheres
having their centres on the line x = y = z.

Transforms And Partial Differential Equations: UNIT I: Partial Differential Equations : Tag: : Partial Differential Equations - Problems based on formation of p.d.e by elimination of arbitrary constants (a.c.)
Transforms and Partial Differential Equations
MA3351 3rd semester civil, Mechanical Dept | 2021 Regulation | 3rd Semester Mechanical Dept 2021 Regulation