It is a modified activated sludge process (ASP). It eliminates primary sedimentation and sludge digestion.
OTHER TREATMENT
METHODS
•
It is a modified activated sludge process (ASP). It eliminates primary
sedimentation and sludge digestion.
•
As the aeration time is longer, it is called extended aeration process.
•
Oxidation-ditch plant is economical for population upto 1.5 lakh, compared
•
Land requirement is less.
•
Oxidation ditch plant involves the construction of number of ditch channels,
placed side by side having depth of 1-1.5 m, width of 1-5 m based on the rotors
from 150 m to 1000 
•
The oxidation ditches may be constructed either in earthwork with earthern
embankments (or) in brick (or) in stone masonry walls.
•
Each ditch channel is equipped with a horizontal axis rotor for agitating and
circulating the sewage and thereby oxygenating the sewage and keeping the
sewage-solids in suspension.
•
The velocity of sewage is 0.3 m/s.
•
The aerated sewage is then settled in a settling tank by stopping the rotors
for 2 hours.
•
When rotors are stopped, the supernatant liquor is taken out.
•
A part of settled sludge is recirculated and the excess sludge (stabilised) is
easily dried in sand beds and disposed suitably.
Types
of Oxidation Ditches:
(i) Intermittent Flow Type:
•
There is no separate settling tank.
•
When the rotor is stopped, the sludge get settled and the supernatant is 2009d
withdrawn.
•
The surplus sludge is removed and disposed after treatment.

(ii) Continuous Flow Type:
•
There is continuous operation. The mixed liquid gets settled in a separate settling
tank.

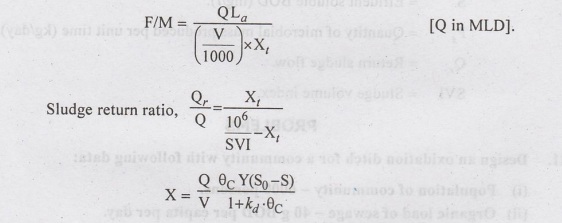
Design Considerations:
•
Long aeration basin to carry MLSS conc - 3000 to 8000 mg/l.
•
F/M ratio (loading factor) is low - 0
•
Efficiency - 95% for suspended solids removal,
-
98% for BOD removal.
•
Settled sludge which is mineralised is dried without odours.
•
Detention period = 12 to 15 hours (or)
0.8
to 2.5 m3 per kg of BOD, load in sewage.
•
Volume of ditch = 150 m3 per metre length of rotor.
Kinetic Equations (similar to ASP):
Normally
MLVSS is taken as the mass of active micro-organism in reactor, but in
oxidation ditch, it includes inactive volatile suspended solids also.
Influent
soluble BOD S0 = La - BOD of suspended solids in influent
↓
(0.25
kg/kg of SS).
BOD
of SS escaping with effluent = 0.45
kg/kg of SS.
Microbial
mass conc = 60% MLSS.

SS
- Suspended Solids
MLVSS
- Mixed Liquor Volatile Suspended Solids
Microbial
mass in excess sludge, 
Wasting
of excess sludge =
Active
microbes in return sludge.

Hydraulic
retention time = V/Q
Process
loading
kg total BOD/kg of MLSS.

Water Supply And Wastewater Engineering: Unit V: Sewage Treatment And Disposal : Tag: : - Other Sewage Treatment Methods
Water Supply and Wastewater Engineering
CE3303 3rd Semester Civil Dept 2021 Regulation | Tag: 3rd Semester Civil Dept 2021 Regulation