Consider a homogeneous bar of cross sectional area A. Take the origin O at one end of the bar and the positive x axis along the direction of heat flow. Let PQ be an element of length Ax and u (x, t), u (x + Ax, t) be the temperatures at time t at the ends P and Q respectively.
ONE DIMENSIONAL EQUATION OF HEAT
CONDUCTION
§
"Temperature - gradient".
Consider a homogeneous bar of cross
sectional area A. Take the origin O at one end of the bar and the positive x
axis along the direction of heat flow. Let PQ be an element of length Ax and u
(x, t), u (x + Ax, t) be the temperatures at time t at the ends P and Q
respectively.

i.e., the potential derivative is the rate of change of temperature w.r.to
distance, at p distant x from O. This is called the temperature gradient.
Example
3.4.1: What are the assumptions made while deriving one dimensional heat
equation?
Solution:
We
assume the following experimental laws.
1. Heat flows from higher to lower
temperature.
2. The amount of heat required to
produce a given temperature change in a body is proportional to the mass of the
body and to the temperature change. This constant of proportionality is known
mo as the specific heat of the conducting material.
It is known as Fourier’s law
of heat conduction.
Example
3.4.2: State Fourier's law of heat conduction.
The rate at which heat flows across
any area is proportional to the area and to the temperature gradient normal to
the curve. This constant of proportionality is known as as the thermal
conductivity (k y (k) of the material.
It is known as Fourier's law of
heat conduction.
Let R1 be the rate at
which heat enters the element PQ of the
bar of cross sectional area A. Then
This is mathematical form of Fourier's law. We put a
negative sign, as is
negative. Heat flows from higher to lower temperature. As x
increases, u decreases.
Note:
The rate at which heat flows across any area is jointly proportional to the
area and to the temperature gradient normal to the area.
Example
3.4.3: Write the p.d.e. of the one dimension heat flow.

Example
3.4.4 : The p.d.e. of one dimensional heat equation is 
Solution:
a2 is called the diffusivity of the material of the body through
which heat flows. If p be the density, c the specific heat and k thermal
conductivity of the material, we have the relation 
Example
3.4.5. Explain why a2 (instead of a) is used in the heat equation

§ ONE DIMENSIONAL HEAT FLOW
We assume the following
experimental laws to get the one dimensional heat flow equation.
1. Heat flows from higher to lower
temperature.
2. The amount of heat required to
produce a given temperature change in a body is proportional to the mass of the
body and to temperature change. This constant of proportionality is known as
the specific heat of the conducting material.
3. The rate at which heat flows
across any area is proportional to ylnicthe area and to the temperature
gradient normal to the curve. This constant of proportionality is known as the
thermal conductivity (k) of the material.
It is known as Fourier's law of
heat conduction.
Let us consider a homogeneous bar
of uniform cross sectional area A.
Assume that the sides of the bar
are insulated so that the stream Assume that the lines of he of heat flow are
all parallel and perpendicular to the area.
Take an end of the bar as the
origin and the direction of heat flow as the positive x-axis.
Let c be the specific heat and k
the thermal conductivity of the material.

Consider an element got between two
parallel sections.
BDEF and GHIJ at distances x and x
+ dx from the origin O, the sections being perpendicular to the x-axis.
The mass of the element = Αρδχ
Let u (x, t) be the temperature at
a distance x at time t.
By the second law,
the rate of increase of heat in the
element 
If R1 and R2
are respectively the rates of inflow, and outflow, for the sections x = x and x
= x + dx, then

the negative sign being due to the
fact that heat flows from higher to lower temperature.

Equating the rate of increase of
heat from the two empirical laws,

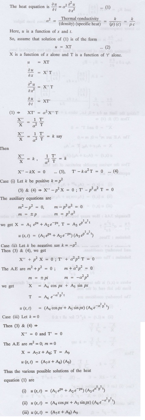
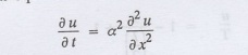
§ SOLUTION OF HEAT EQUATION

Example
3.4.6: How many boundary conditions are required to solve

Example
3.4.7: State one dimensional heat equation with the initial and boundary
conditions.
Solution:
The one dimensional heat equation is

where u (x, t) is the temperature
at time t at a point of distance x from the left end of the rod.
The boundary conditions are
(i) u (0,t) = k1°C for
all t≥ 0
(ii) u (l,t) = k2°C for all t≥ 0
(1 being the length of the one dimensional
rod)
The initial condition is
(iii) u (x, 0) = f(x), 0 <x<l
(a)
Problems with zero boundary values
(Temperature or temperature gradients)
Example
3.4.a(1): A rod of length / with insulated side is initially at a uniform
temperature f (x). Its ends are suddenly cooled to 0° C and are kept at the
temperature. Find the temperature function u(x, t).
(OR)
Solve the equation
subject
to the conditions u (0, t)=0,
u (l, t) = 0 and u(x, 0) = f(x).
Solution:
The temperature function u (x, t) satisfies the one dimensional heat equation
is

From the given problem, we get the
following boundary and initial conditions.

Now, the suitable solution which
satisfies our boundary conditions is given by

Applying
condition (i) in equation (1), we get


Example
3.4.a(3): A homogeneous rod of conducting material of length I has its ends
kept at zero temperature. The temperature at the centre is T and falls
uniformly to zero at the two ends. Find u (x, t).
Solution:
The temperature function u (x, t) satisfies the one dimensional heat equation

From the given problem we get the
following boundary and initial conditions
(i) u (0, t) 0 for all t≥0
(ii) u (1,t) 0 for all t≥0
Since the temperature at the centre
is T and falls uniformly to zero at the two ends, its distribution at t = 0 is
as given in the figure.

Transforms And Partial Differential Equations: UNIT III: Application Of Partial Differential Equations : Tag: : Examples - One Dimensional Equation Of Heat Conduction