Linear partial differential equations of higher order with constant co-efficients may be divided into two categories as given below.
LINEAR PARTIAL DIFFERENTIAL EQUATIONS OF SECOND AND HIGHER ORDER WITH CONSTANT COEFFICIENTS OF BOTH HOMOGENEOUS
AND NON-HOMOGENEOUS TYPES
Partial differential equation of Higher order
Linear partial differential
equations of higher order with constant co-efficients may be divided into two
categories as given below.
(i) homogeneous p.d.e. with
constant co-efficients.)
(ii) non-homogeneous p.d.e. with
constant co-efficients.

Definition
:
A
linear p.d.e. with constant co-efficients in which all the partial derivatives
are of the same order is called homogeneous; otherwise it is called
non-homogeneous.
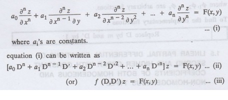
Homogeneous linear equation
A homogeneous linear partial differential
equation of nth order with constant co-efficients is of the form

The solution of f (D,D') z = 0 is
called the complementary function C.F of (iii).
We find a particular integral
(P.I.) of (iii) which is given by
Then
z = C.F. + P.I is the complete
solution of (iii) (or) general solution,
Method
of finding C.F.
1. To get the auxiliary equation of
f(D, D') = F(x, y)
Put D = m and D’ = 1
2. The auxiliary equation is
f(D,D') = 0



Transforms And Partial Differential Equations: UNIT I: Partial Differential Equations : Tag: : - Linear partial differential equations of second and higher order with constant coefficients of both homogeneous and non-homogeneous types
Transforms and Partial Differential Equations
MA3351 3rd semester civil, Mechanical Dept | 2021 Regulation | 3rd Semester Mechanical Dept 2021 Regulation