Sometimes the function is not given by a formula, but by a graph or by a table of corresponding values. The process of finding the Fourier series for a tabular form of numerical values is known as Harmonic Analysis.
HARMONIC ANALYSIS
Sometimes the function is not given
by a formula, but by a graph or by a table of corresponding values. The process
of finding the Fourier series for a tabular form of numerical values is known
as Harmonic Analysis. The Fourier constants are evaluated by the following
formulae :

Fundamental
or first harmonic. The term (a cosx+b1 sinx) in Fourier
series is called the fundamental or first harmonic.
Second
harmonic: The term (a2 cos 2x + b2 sin 2x) in Fourier series
is called the second harmonic and so on.
Note:
are the amplitudes of the first will decrease rapidly. and second
harmonic. The amplitudes A1, A2, Hence, the first few harmonics give
a good result to the given function.
Type 1 Given data are in л form
Type 2: Given data are in degree
form
Type 3 Given data are in T form
Type 4: Given data are in / form
Problems based on Harmonic Analysis
TYPE 1: GIVEN DATA ARE IN FORM
Example
2.6.1 : Find the Fourier Series upto the third harmonic for y = f(x) in (0, 2)
defined by the table of values given below.

Example
2.6.2: Determine the first two harmonic of the Fourier series for the following
values.

TYPE
2 GIVEN DATA ARE IN DEGREE FORM
Example
2.6.3: Find an empirical formula of the form
f(x)
= ao + a1 cos x + b1 sin x
for the following data given that
f(x) is periodic with period 2 л.

Example
2.6.4: Compute the first three harmonies of Fourier series of f(x) given by the
following data.

TYPE
3 GIVEN DATA ARE IN T FORM

Example
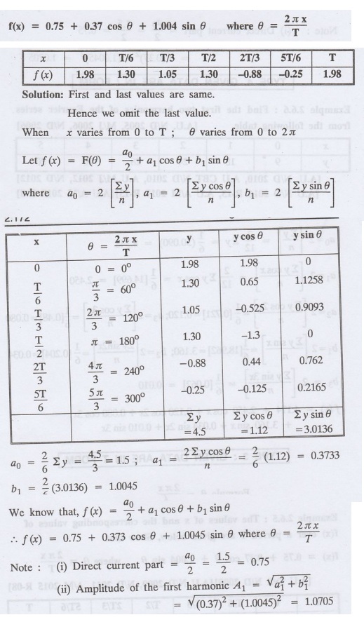
2.6.5: The values of x and the corresponding values of f(x) over a period T are
given below, Show that

TYPE
4. GIVEN DATA ARE IN l FORM
Example
2.6.6: Find the first two harmonics of the Fourier series from the following
table.

Transforms And Partial Differential Equations: UNIT II: Fourier Series : Tag: : - Harmonic Analysis
Transforms and Partial Differential Equations
MA3351 3rd semester civil, Mechanical Dept | 2021 Regulation | 3rd Semester Mechanical Dept 2021 Regulation