Whatever definitions or format we use, there will be a difference in constant factor while finding F (s) = F [f(x)]. But this will F (S) = FV be adjusted while expressing f (x) as a Fourier integral.
FOURIER TRANSFORM PAIR:
a. Fourier Transform:
[Complex Fourier Transform]d.s.A Definition: The complex (or infinite) Fourier
Transform
The complex (or infinite) Fourier
Transform of f (x) is given by

Then the function f(x) is the
inverse Fourier Transform of F (s) and is given by

Note:
Whatever definitions or format we use, there will be a difference in constant
factor while finding F (s) = F [f(x)]. But this will F (S) = FV be adjusted
while expressing f (x) as a Fourier integral.
For example,
definitions or format we use.
INVERSION FORMULA FOR
FOURIER TRANSFORM
Let f(x) be a function satisfying
Dirichlet's conditions in every finite interval (-1,7). Let F(s) denote the
Fourier transform of f(x). point of continuity of f(x) Then at every point of
countinuity of f(x), we have

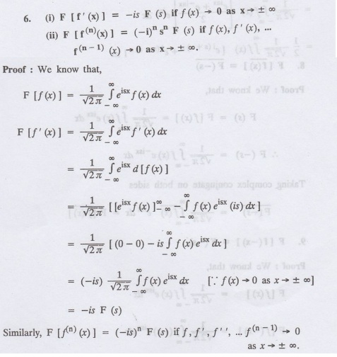
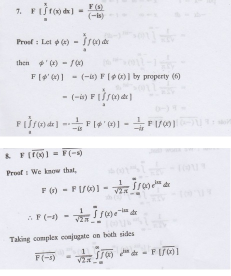
PROPERTIES- TRANSFORMS OF SIMPLE FUNCTIONS
4.2.c.
PROPERTIES OF FOURIER TRANSFORMS :
1.
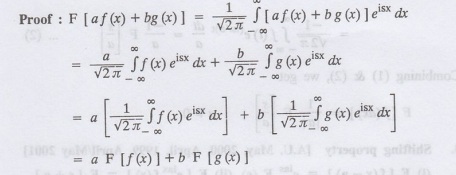
Linear property
F
[af(x)+bg(x)] a F [f(x)] + b F [g(x)]
where
a and b are real numbers.
Proof
:
2.
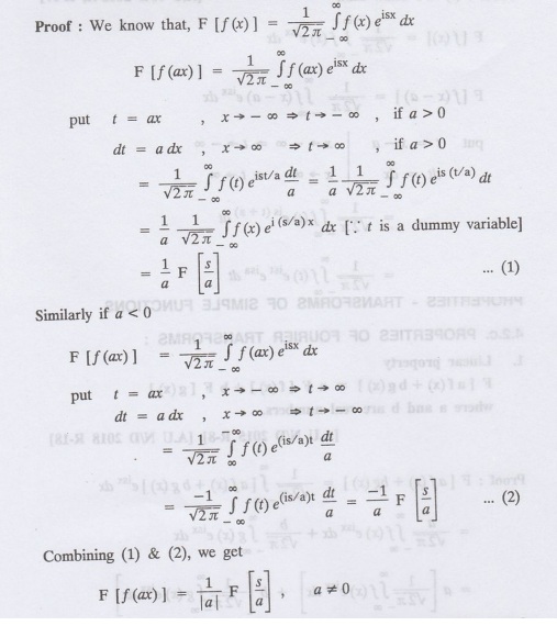
Change of scale property For any non-zero real a, 

3.
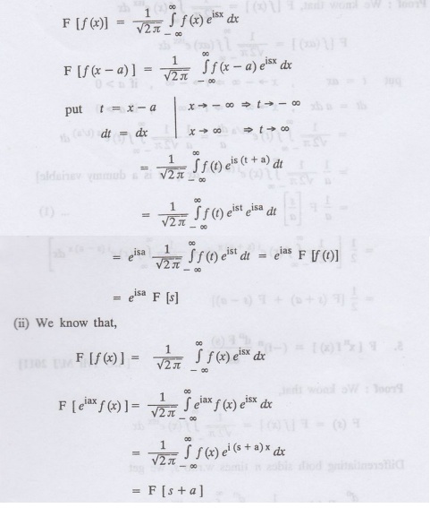
Shifting property

Proof:
(i) We know that,

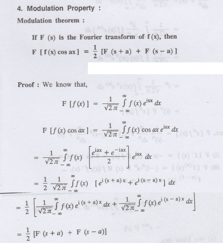
4.
Modulation Property:
Modulation
theorem :





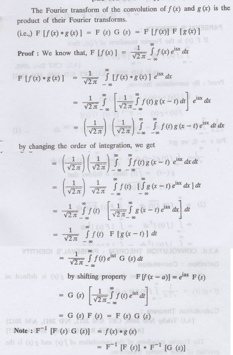
d. CONVOLUTION THEOREM - PARSEVAL'S IDENTITY
Definition:
Convolution
The convolution of two functions
f(x) and g(x) is defined as

Convolution Theorem :
The Fourier transform of the
convolution of f (x) and g (x) is the product of their Fourier transforms.

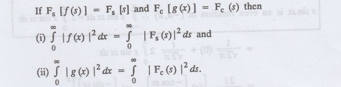
PARSEVAL'S
IDENTITY:
If F (s) is the Fourier transform
of f (x), then

Note:
In the same way, we can prove Parseval's identity for Fourier sine and cosine
transforms.

Transforms And Partial Differential Equations: UNIT IV: Fourier Transforms : Tag: : Inversion Formula For Fourier Transform - Fourier Transform Pair
Transforms and Partial Differential Equations
MA3351 3rd semester civil, Mechanical Dept | 2021 Regulation | 3rd Semester Mechanical Dept 2021 Regulation