Transforms And Partial Differential Equations: UNIT IV: Fourier Transforms: Examples
FOURIER SINE & COSINE TRANSFORMS:
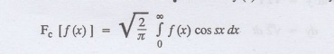
FOURIER COSINE TRANSFORM:
The infinite Fourier cosine
transform of f (x) is defined by

The inverse Fourier cosine
transform Fc [f(x)] is defined by

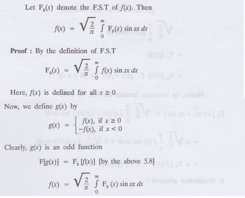
INVERSION FORMULA FOR FOURIER COSINE TRANSFORM
Let Fe(s) denote the
F.C.T of f(x). Then

FOURIER SINE TRANSFORM:
The infinite Fourier sine transform
of f(x) is defined by 
The inverse Fourier sine transform
of F, [f(x)] is defined by 
INVERSION FORMULA FOR FOURIER SINE TRANSFORM


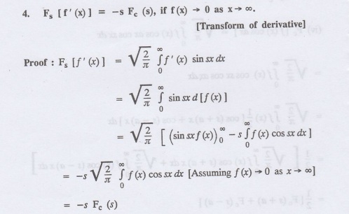
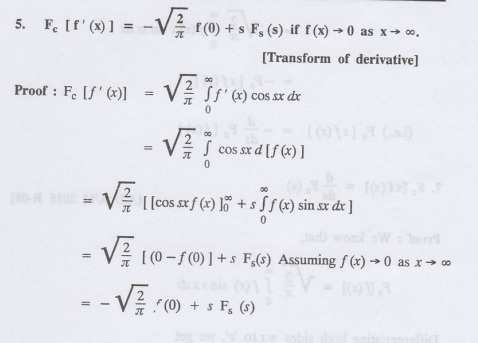
Properties of Fourier sine transform and Fourier cosine
transform
1.
Linear property

2.
Modulation property :





III (a). Problems based on Fourier Cosine Transform
Formula:

Example
4.3.a(1) Find the Fourier cosine transform of


Example
4.3.a(3): Find the Fourier cosine transform of e -ax a > 0.
Solution:

Example
4.3.a(4): Find the Fourier cosine transform of the function 3e -5x +5e-2x

Example
4.3.a(5): Find the Fourier cosine transform of

Example
4.3.a(6):Find the Fourier cosine transform of f(x) = x.
Solution:
We
Know that,

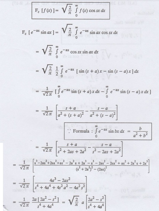
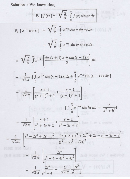
Example 4.3.a(7):Find the Fourier cosine transform of e-ax cosax.
Solution:
We
Know that,

Example
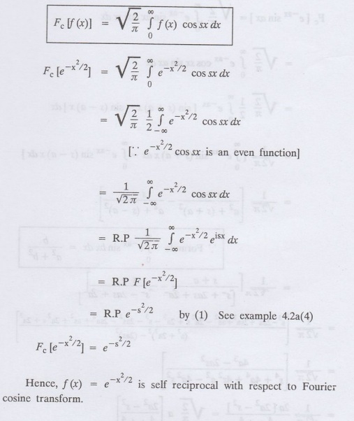
4.3.a(8): Show that ex2/2 is self-reciprocal
under Fourier cosine transform.
Solution
:
We know that,

Example
4.3.a(9): Find the Fourier cosine transform of e-ax sin ax.
Solution:
We know that,

Example
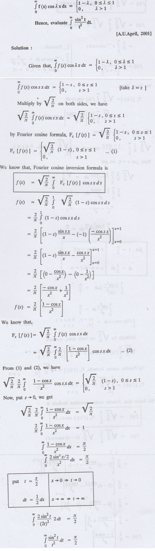
4.3.a(10): Evaluate Fe [xn-1] if 0 < x < 1. Deduce that 1/x is
self reciprocal under Fourier cosine transform.
Solution
:

Example
4.3.a(11): Find the Fourier cosine transform of


Example
4.3.a(13): Find the Fourier cosine transform of e-a2x2 ̧
Solution:
We know that,

III.
(b) Problems based on Fourier cosine transform and its inversion formula.
Formula
:

Example
4.3.b(1): Solve the integral equation

Example
4.3.b(2): Solve the integral equation

Example
4.3.b(3): Find the Fourier cosine transform of e- |x| 
Example
4.3.b(4): Find the Fourier cosine transform of e-ax, a 
III. (c) Problems Based on Fourier Sine Transform. [F.S.T]
Formula
:
Example
4.3.c(1): Find the Fourier sine transform of

Example
4.3.c(2): Find the Fourier sine transform of

Example
4.3.c(3): Find the Fourier sine transform of

Example
4.3.c(4): Find the Fourier sine transform of 1/x
Solution:
We know that,

Example
4.3.c(5): Find the Fourier sine transform of 3e-5x +5e-2x
Solution:
We know that,

Example
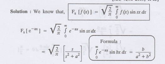
4.3.c(6): Find the Fourier sine transforms of f (x) = e-ax
Solution:
We know that,

Example
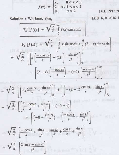
4.3.c(7): Find the Fourier sine transform of the function

Example
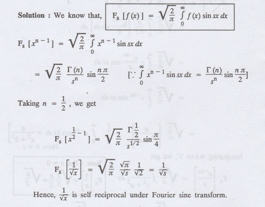
4.3.c(8): Find the Fourier sine transform of x n-1. Deduce that is 1/√x
self reciprocal under Fourier sine transform.


III.
(d) Problems based on Fourier sine transform and its inversion formula.
Formula
:

Example
4.3.d(1): Find Fourier sine transform of e-ax a > 0 and 
Example
4.3.d(2): Find the Fourier sine transform of e-x Hence 

Example
4.3.d(4): Solve the integral equation

III .(e) Problems based on properties of F.C.T AND F.S.T.
Example
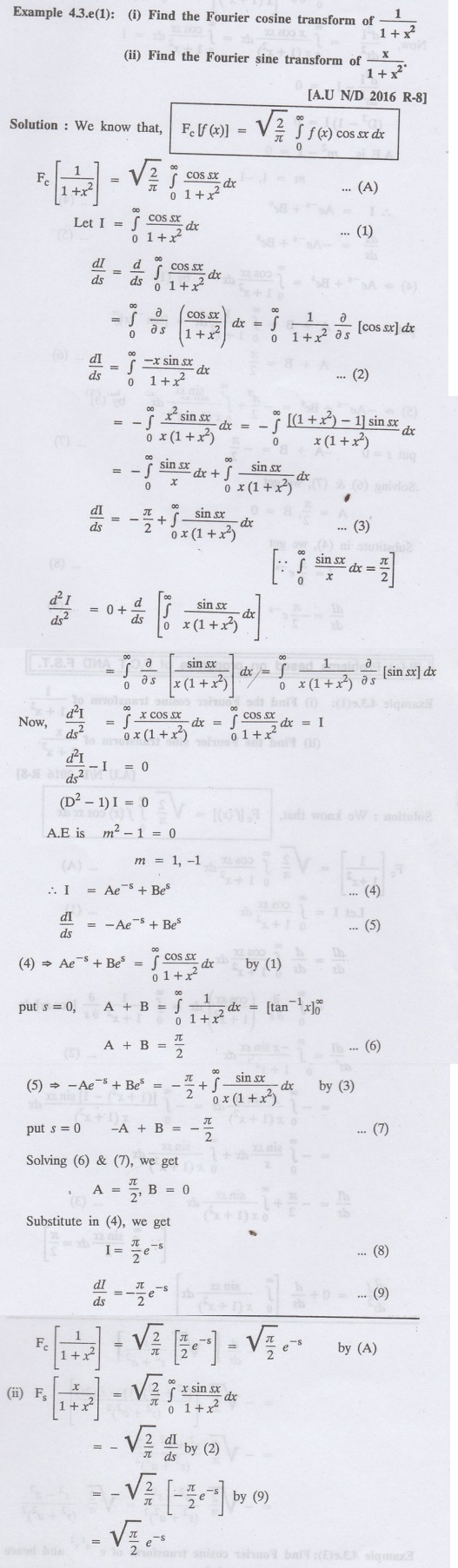
4.3.e(1): (i) Find the Fourier cosine transform of 
Example
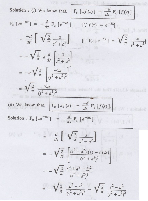
4.3.e(2): Find the Fourier sine and
cosine transformations of xe-ax
Solution:
(i) We know that,

Example
4.3.e(3): Find Fourier cosine transform of e –a2 x2 
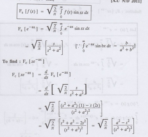
Example 4.3.e(4): Find the Fourier sine transform of e-ax hence find the Fourier cosine transform of xe-ax
Solution:
We know that,

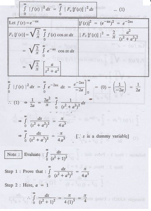
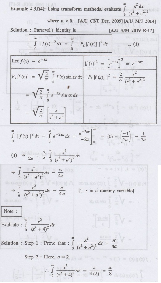
III (f) Problems based on Parseval's
identity in F.S.T and F.C.T

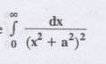
Example
4.3.f(3): Using transform methods, evaluate 
Solution:
Parseval's identity is


Example 4.3.f(5): Using Parseval's
identity of the Fourier cosinetransform,Evaluates
Transforms And Partial Differential Equations: UNIT IV: Fourier Transforms : Tag: : Examples - Fourier Sine & Cosine Transforms
Transforms and Partial Differential Equations
MA3351 3rd semester civil, Mechanical Dept | 2021 Regulation | 3rd Semester Mechanical Dept 2021 Regulation