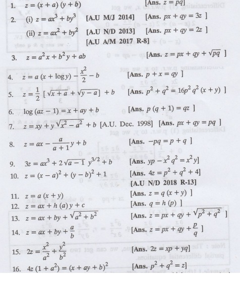
Transforms And Partial Differential Equations: UNIT I: Partial Differential Equations: Exercise
EXERCISE 1.1(a)
1. From the partial differential
equations by elimination the arbitrary consants a &b


EXERCISE
1.1(b) (1): Obtain the p.d.e by eliminating a,b,c from

Note: The answer is not unique, we can get other equivalent
partial differential equations.
EXERCISE
1.1(b) (2): Find the differential equation of all
sphares whose radii are the same.
Sol.
The equation of all spheres with equal radius can be taken as

EXERCISE
1.1(a) (3)
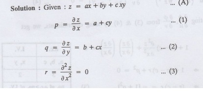
1.
Form the partial differential equations by eliminating the arbitrary constants
a,b & c from z= ax +by + cxy

Note: The answer is not
unique, we can get two other equivalent partial differential equations.
Example
1.1(b)
Form
the partial differential equation by eliminating the arbitrary constants a, b
& c as the case may be

Transforms And Partial Differential Equations: UNIT I: Partial Differential Equations : Tag: : Partial Differential Equations - Exercise [formation of P.D.E by elimination of arbitrary constants (a.c.)]
Transforms and Partial Differential Equations
MA3351 3rd semester civil, Mechanical Dept | 2021 Regulation | 3rd Semester Mechanical Dept 2021 Regulation